• Предмет: Алгебра
  • Автор: qwasdertyu7i86543q2w
  • Вопрос задан 3 года назад

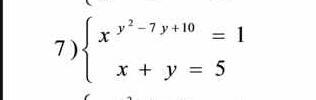
помогите решить систему

Приложения:

Ответы

Ответ дал: Oden21
1

Ответ:

\left \{ {{x=1} \atop {x+y=5}} \right. \\\left \{ {{x=1} \atop {1+y=5}} \right. \\\left \{ {{x=1} \atop {y=4}} \right.

Объяснение:

Только одно число в любой (неважно, какой) степени даёт единицу. Это и есть 1.

Сделано с любовью.

Вас заинтересует