• Предмет: Алгебра
  • Автор: BangeBo
  • Вопрос задан 11 лет назад

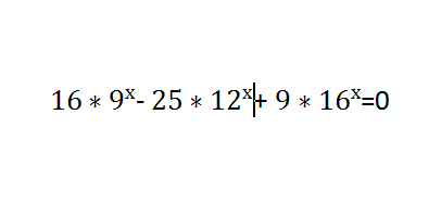
Помогите сделать это показательное уравнение. Нужно само решение, потому что я не понимаю как....

Приложения:

Ответы

Ответ дал: prostomama1
0
''''''''''''''''''''''''''''''''''''''''
Приложения:
Вас заинтересует