• Предмет: Математика
  • Автор: master777azino
  • Вопрос задан 3 года назад


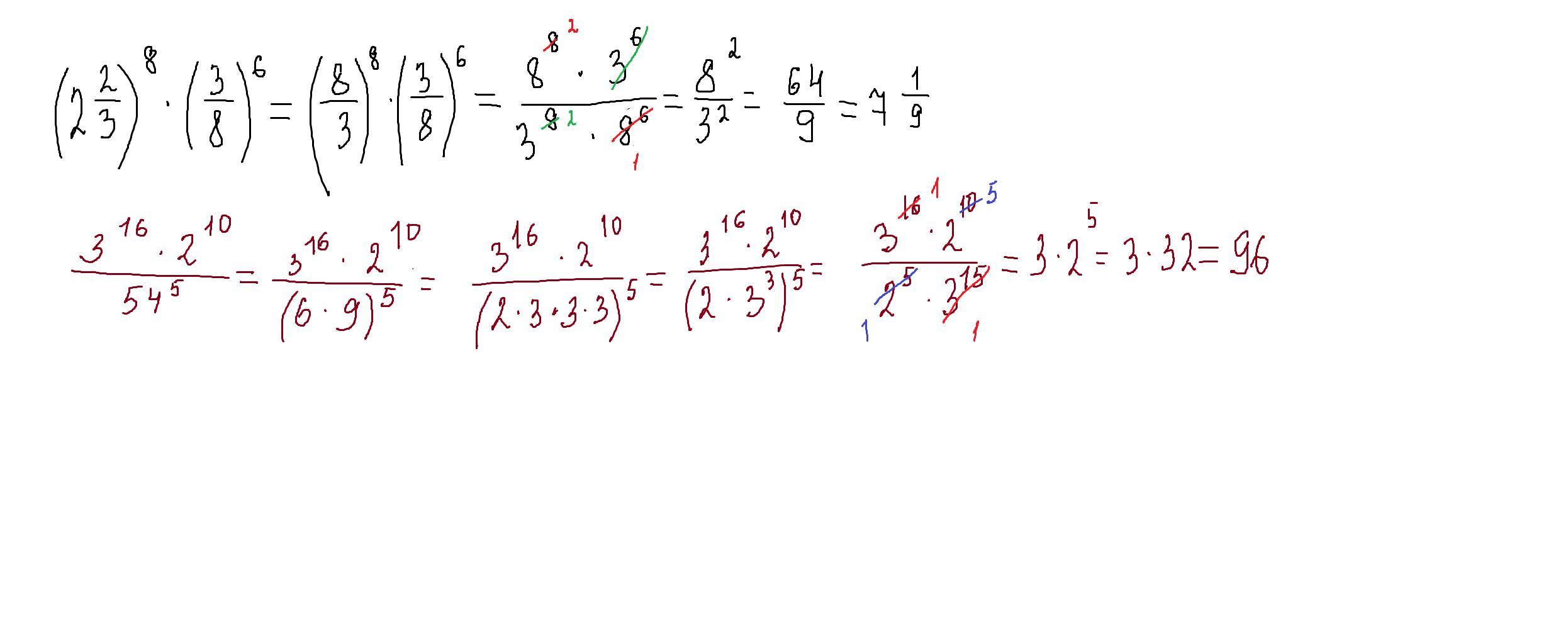
Помогите решить 2 номер с объяснением срочно, пожалуйста​

Приложения:

Ответы

Ответ дал: parus77
1

Ответ:

Пошаговое объяснение:

решение внизу

Приложения:
Вас заинтересует