• Предмет: Алгебра
  • Автор: dhfvtdbf
  • Вопрос задан 3 года назад

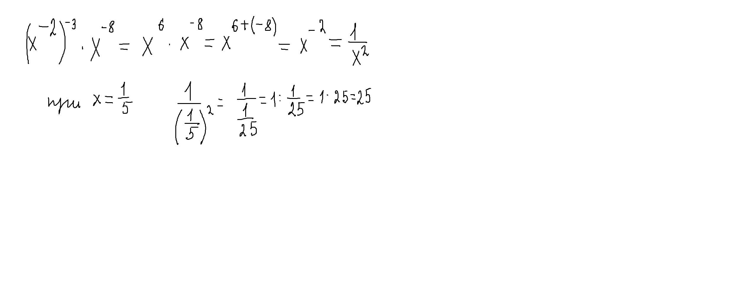
Представьте выражение (х‐²)‐³×x‐⁸ в виде степени с основанием х и найдите его значение при х = 1/5

Ответы

Ответ дал: parus77
0

Ответ:

25

Объяснение:

решение внизу

Приложения:
Вас заинтересует