• Предмет: Алгебра
  • Автор: gy2rteww345tr3
  • Вопрос задан 3 года назад

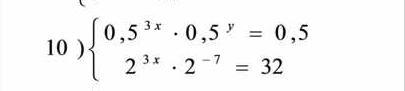
помогите решить систему уравнений

Приложения:

Ответы

Ответ дал: manyny06
1

Ответ:

решение на фотографии

Приложения:

znajialok: Здравствуйте СРОЧНО можете мне помочь с геометрией пожалуйста
poznaybol: помогите мне пожалуйста
Вас заинтересует