• Предмет: Алгебра
  • Автор: gotovtsev07
  • Вопрос задан 3 года назад

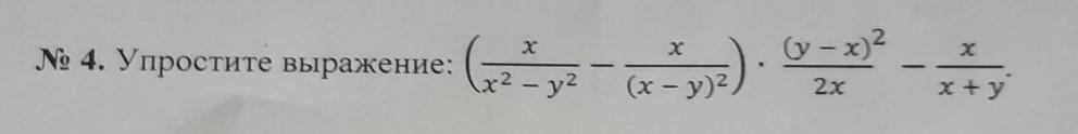
упростите выражение​

Приложения:

Ответы

Ответ дал: ValeriGrick
1

Ответ:

Объяснение:

старалась писать максимально понятно и подробно

Приложения:
Вас заинтересует