• Предмет: Алгебра
  • Автор: ospankova94
  • Вопрос задан 3 года назад

Бабалатаиалвюубвтвивлдвьвтвльсьаь

Приложения:

Ответы

Ответ дал: Miroslava227
0

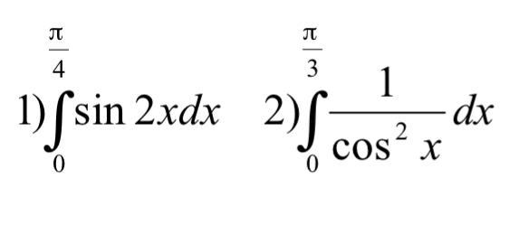
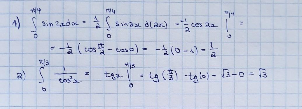
Ответ:

решение на фотографии

Приложения:
Вас заинтересует