• Предмет: Физика
  • Автор: nastia19981
  • Вопрос задан 10 лет назад

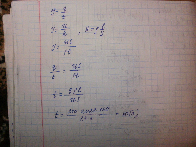
За який час заряд 240 Кл проходить через алюмінієву дротину завдовжки 100 м і площею поперечного перерізу 1 мм²,якщо напруга між кінцями дротини 8,4 В?

Ответы

Ответ дал: mayli
0
q = 240 Кл
l=100 м
U = 8,4 B
S = 1 мм²
ρ = 0,028 Ом·мм²/м
t - ?
продовження у файлі...
Приложения:
Вас заинтересует