• Предмет: Алгебра
  • Автор: Аноним
  • Вопрос задан 3 года назад

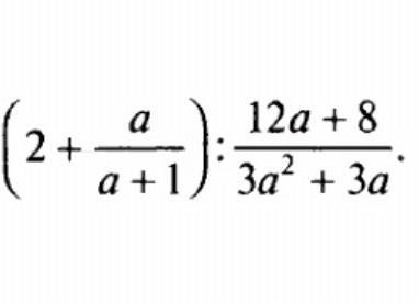
выполните действия:​

Приложения:

Ответы

Ответ дал: aryna128
0

Ответ:

3а\4

Объяснение:

Вас заинтересует