• Предмет: Математика
  • Автор: zinovevdanil528
  • Вопрос задан 3 года назад

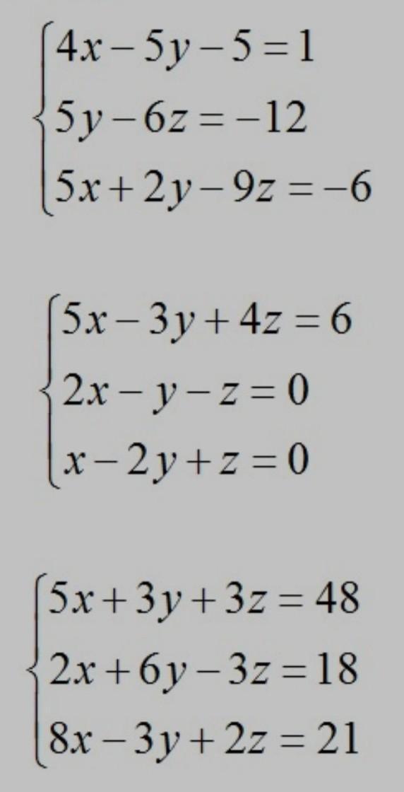
Помогите пожалуйста по математике, очень срочно!!!​

Приложения:

Miroslava227: Каким способом решить?
zinovevdanil528: методом крамера

Ответы

Ответ дал: Miroslava227
1

Ответ:

решение на фотографиях

Приложения:
Вас заинтересует