• Предмет: Математика
  • Автор: agentgirllove
  • Вопрос задан 3 года назад

представьте в виде неправильной обыкновенной дроби смешанные числа; 1)3 3/4 2) 5 7/1 3) 14 4/5 4) 8 7/12ПОМОГИТЕ ПОЖАЛУЙСТА

Ответы

Ответ дал: Oannak
0

Ответ:

1) 15/4 2) 12/1 3) 74/5 4) 103/12


Аноним: это вообще неправильно!
Ответ дал: hill384
0

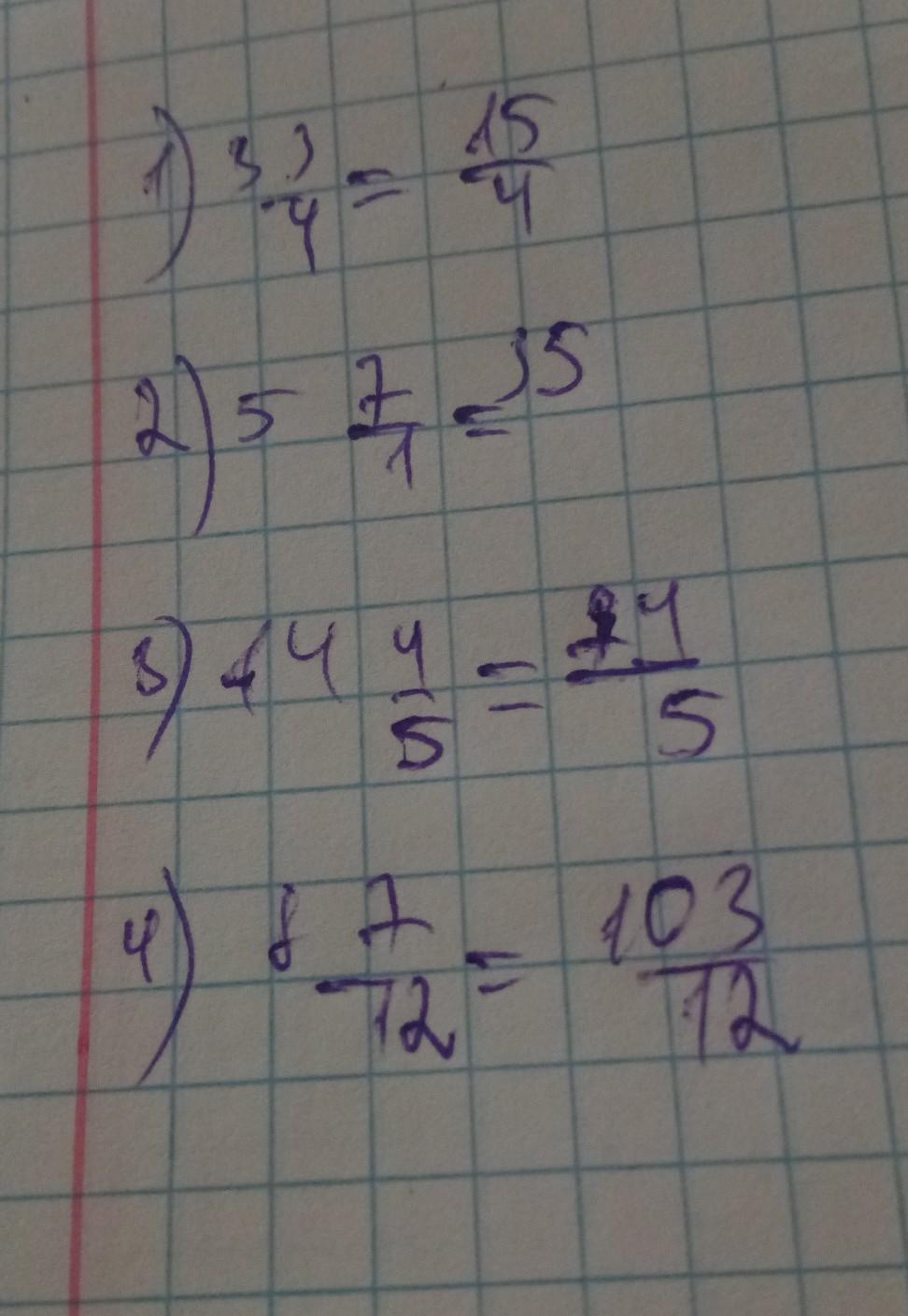
решение на фото......

Приложения:
Вас заинтересует