• Предмет: Алгебра
  • Автор: Аноним
  • Вопрос задан 3 года назад

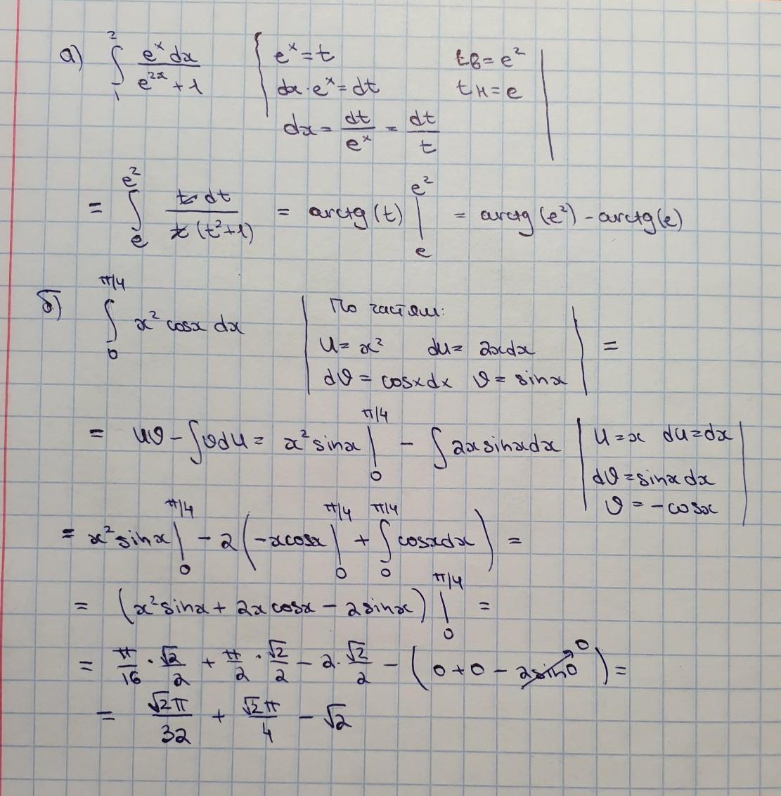
Вычеслить определенный интеграл, помогите пожалуйста. Заранее спасибо большое ❤️​

Приложения:

Ответы

Ответ дал: Miroslava227
0

Ответ:

решение на фотографии

Приложения:
Вас заинтересует