Прошу вас, те кто в интегралах разбирается помогите
Использовать метод подстановки
Приложения:

pro228men:
с фигали а
Ответы
Ответ дал:
0
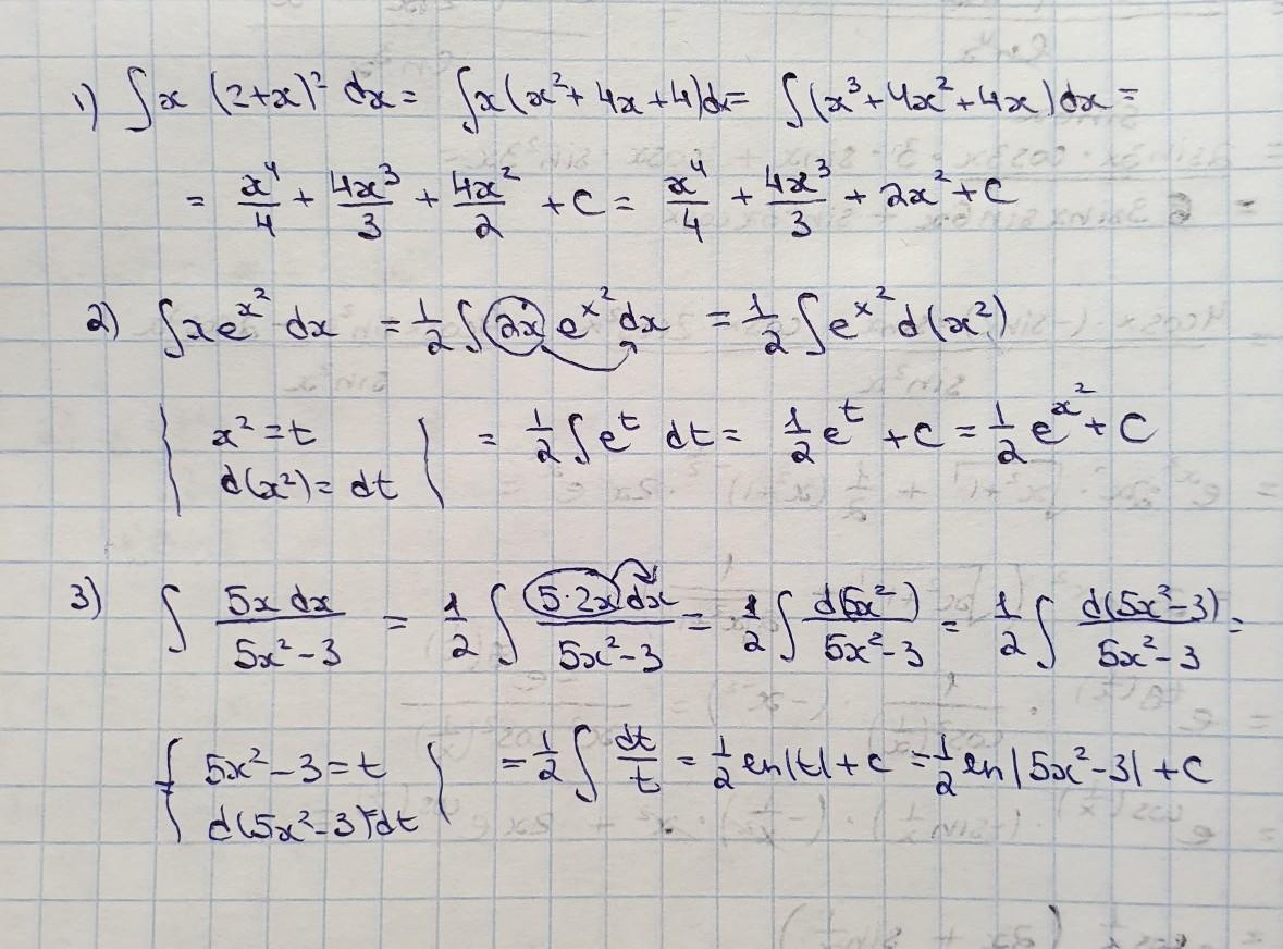
Ответ:
на фото
В первом можно без подстановки обойтись
Приложения:

Вас заинтересует
2 года назад
2 года назад
2 года назад
7 лет назад
7 лет назад