Ответы
Ответ дал:
1
Ответ:
думаю помогла хоть с чем-то.
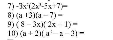
Объяснение:
..
Приложения:

Вас заинтересует
2 года назад
2 года назад
2 года назад
7 лет назад
7 лет назад
9 лет назад
9 лет назад