СРОЧНО!
ДАЮ 35 БАЛЛОВ! РЕШИТЕ ЭТО, ПОЖАЛУЙСТА. Я СЛИШКОМ ТУПАЯ ДЛЯ ЭТОЙ ЖИЗНИ
Приложения:

dankostihin:
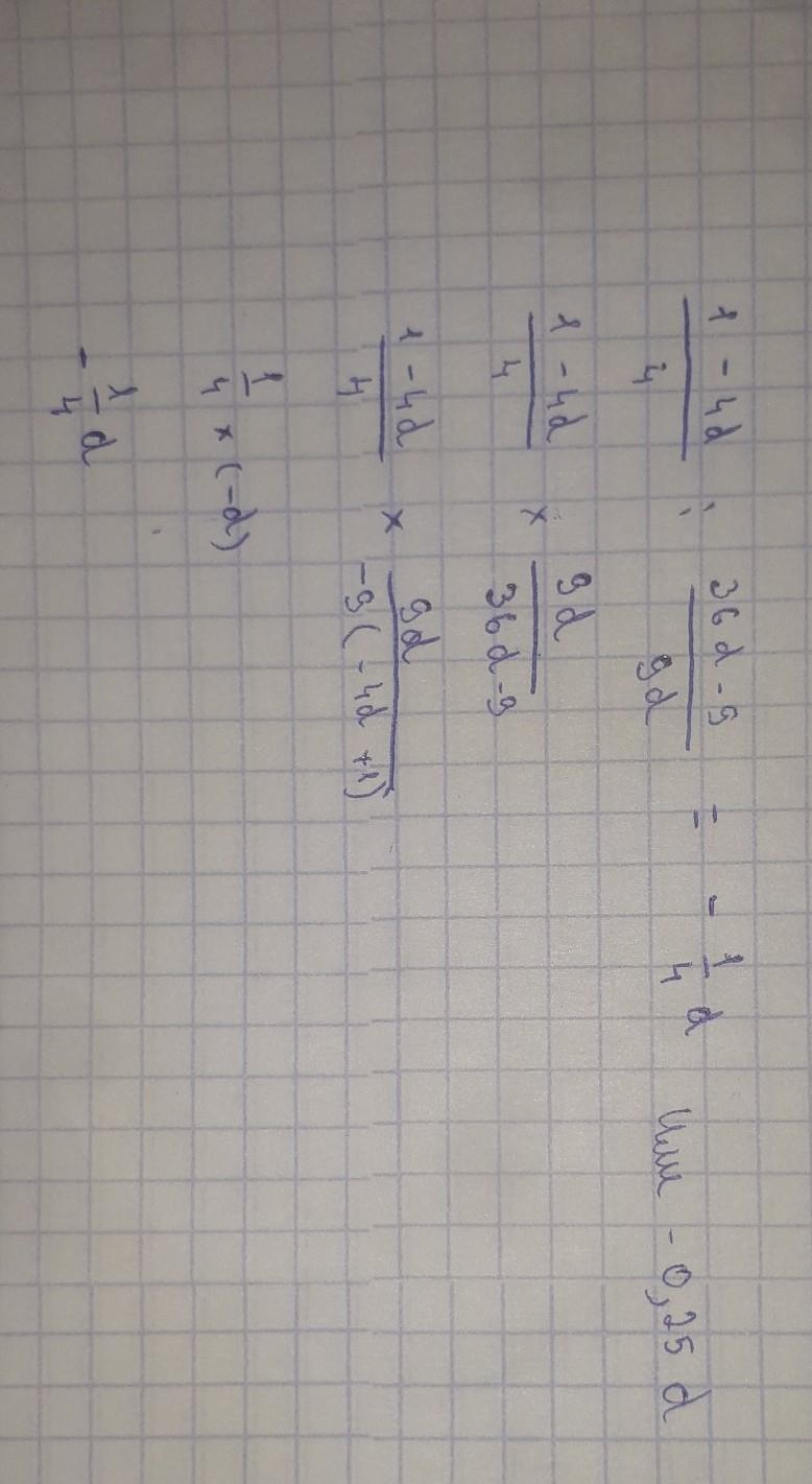
3 - (вверху 2коринь6d-9) (внизу9d)
Ответы
Ответ дал:
1
Ответ:
СДЕЛАЙ ЛУЯШИМ please, please, PLEASE
Приложения:

Вас заинтересует
2 года назад
2 года назад
2 года назад
9 лет назад