• Предмет: Математика
  • Автор: swetlayaluna
  • Вопрос задан 3 года назад

Решите пожалуйста, очень срочно!!
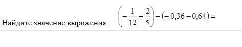
1 задание.

Приложения:

Ответы

Ответ дал: Аноним
3

Ответ:

( -  \frac{1}{12}  +  \frac{2}{5} ) - ( - 0.36 - 0.64) =  \frac{19}{60}  - ( - 1) =  \frac{19}{60}  + 1 =  \frac{79}{60}

Пошаговое объяснение:

. . .

Вас заинтересует