• Предмет: Алгебра
  • Автор: gulmirabaiguskarova
  • Вопрос задан 3 года назад

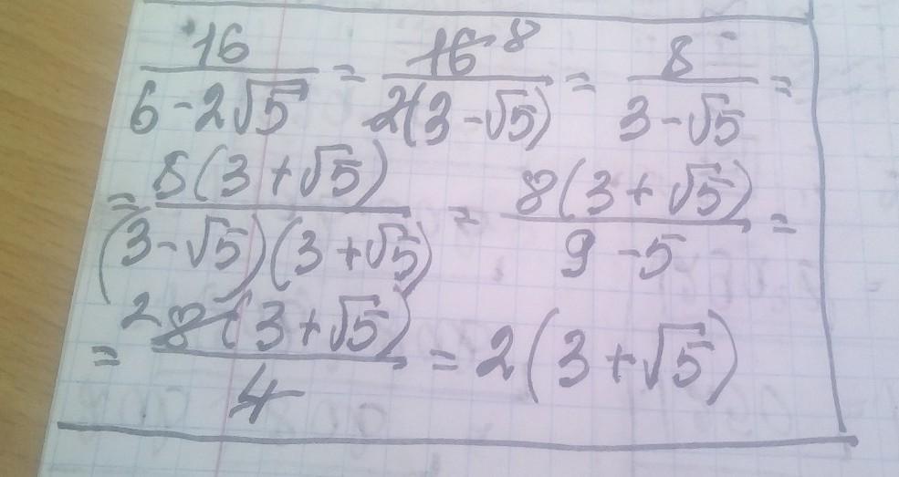
Освободитесь от иррациональности в знаменателе дроби: 16/6-2√5

Ответы

Ответ дал: manyny06
5

Ответ:

решение на фотографии

Приложения:
Вас заинтересует