• Предмет: Алгебра
  • Автор: iliyarabdivaliev
  • Вопрос задан 3 года назад

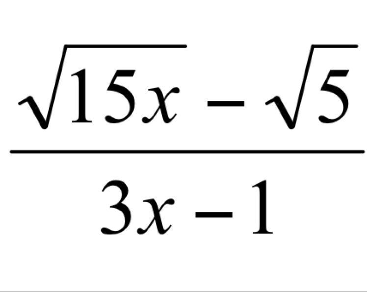
Сократить дробь пжжжж

Приложения:

Ответы

Ответ дал: mironshokh1001
0

Ответ:

Все в картинке если не сложно сделай ответ лучшим

Объяснение:

Приложения:

iliyarabdivaliev: от душииииии
Вас заинтересует