• Предмет: Алгебра
  • Автор: under5moon
  • Вопрос задан 3 года назад

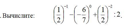
Вычислите
Заранее спасибо

Приложения:

Ответы

Ответ дал: nnnnooool625
0

Тебе с пояснением или без?


under5moon: с пояснением желательно
nnnnooool625: хорошо
nnnnooool625: 2-1+4/2=1+4/2=3
Вас заинтересует