• Предмет: Математика
  • Автор: feniksj2003
  • Вопрос задан 3 года назад

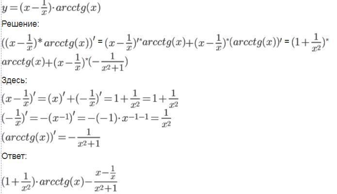
найдите производные, используя правила дифференцирования ​

Приложения:

Ответы

Ответ дал: lulu4556
1

Ответ:

Пошаговое объяснение:

Приложения:
Вас заинтересует