Ответы
Ответ дал:
1
Ответ:
Пошаговое объяснение:
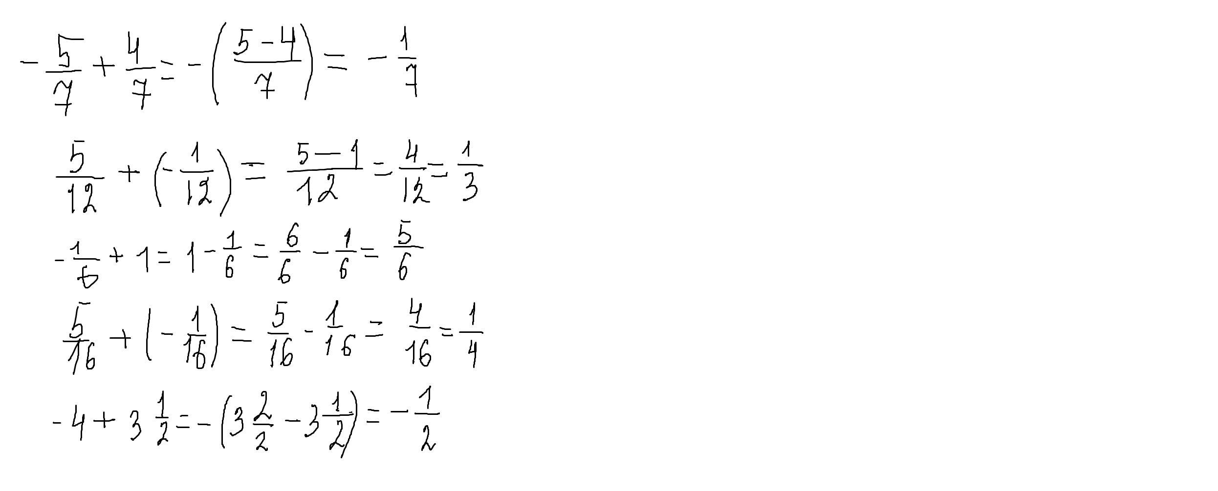
чтобы сложить 2 числа с разными знаками ,нужно от большего модуля отнять меньший модуль и поставить знак большего модуля.
Приложения:

Аноним:
спасибо огромное
Вас заинтересует
2 года назад
2 года назад
2 года назад
2 года назад
7 лет назад
7 лет назад