• Предмет: Алгебра
  • Автор: englishkiddo
  • Вопрос задан 3 года назад

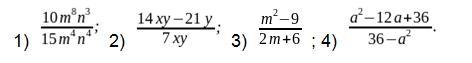
сократите дробь рациональным способом

Приложения:

Ответы

Ответ дал: Jony2890
1
Привет, вот ответ, в основном сокращать нужно, это точно правильно. Надеюсь помогла
Приложения:
Вас заинтересует