Ответы
Ответ дал:
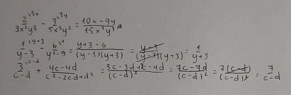
2
Объяснение:
............................
Приложения:

iulyasekerina:
Там в 3 есть ошибка
Вас заинтересует
2 года назад
2 года назад
2 года назад
2 года назад
7 лет назад