• Предмет: Физика
  • Автор: ggto
  • Вопрос задан 3 года назад

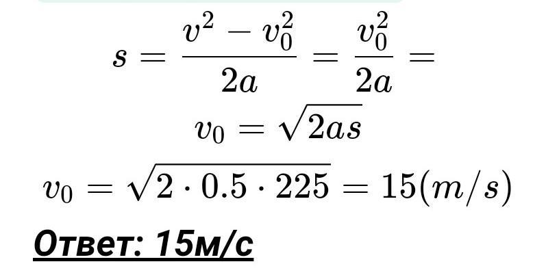
6. С какой скоростью двигался
поезд до начала торможения,
если при торможении он
двигался с постоянным
ускорением величиной 0,5м/с
и до остановки прошел 225м?

Решите с формулами, дано найти и решение ​

Ответы

Ответ дал: yakhatovsultanova
0

Ответ:

??????????????????????????? ¿????

Приложения:
Ответ дал: fatt52
0

Ответ:

15 м/c

Объяснение:

a= 0.5 м/с²    s=225 м     vk=0    vo=?

===

s=(vk²-vo²)/(2*a)

vo=√(2*s*a)=√(2*225*0.5)=15 м/с

====================================


ggto: что значит vk?
Вас заинтересует