• Предмет: Алгебра
  • Автор: xcerfat930
  • Вопрос задан 3 года назад

срочно пожалуйста помогите​

Приложения:

Ответы

Ответ дал: parus77
0

Ответ:

Объяснение:

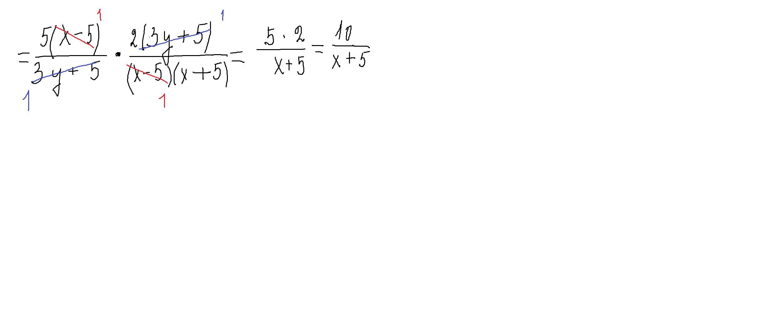
решение внизу

Приложения:
Вас заинтересует