Ответы
Ответ дал:
0
Ответ:
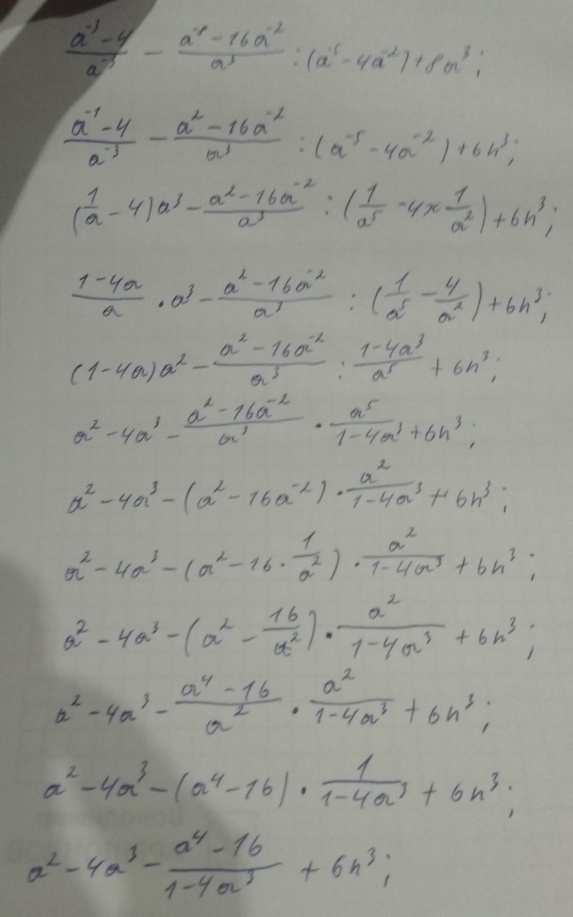
Я ПОЛ ДНЯ ЭТО ДЕЛАЛ!
Надеюсь ты дашь хоть по больше балов:)
P.S на втором фото там сверху продолжение решения,а в конце ответ.
Приложения:


Вас заинтересует
2 года назад
2 года назад
2 года назад
7 лет назад
7 лет назад
9 лет назад