• Предмет: Алгебра
  • Автор: Аноним
  • Вопрос задан 3 года назад

ПОЖАЛУЙСТА ПОМОГИТЕ СРОЧНООООО!​

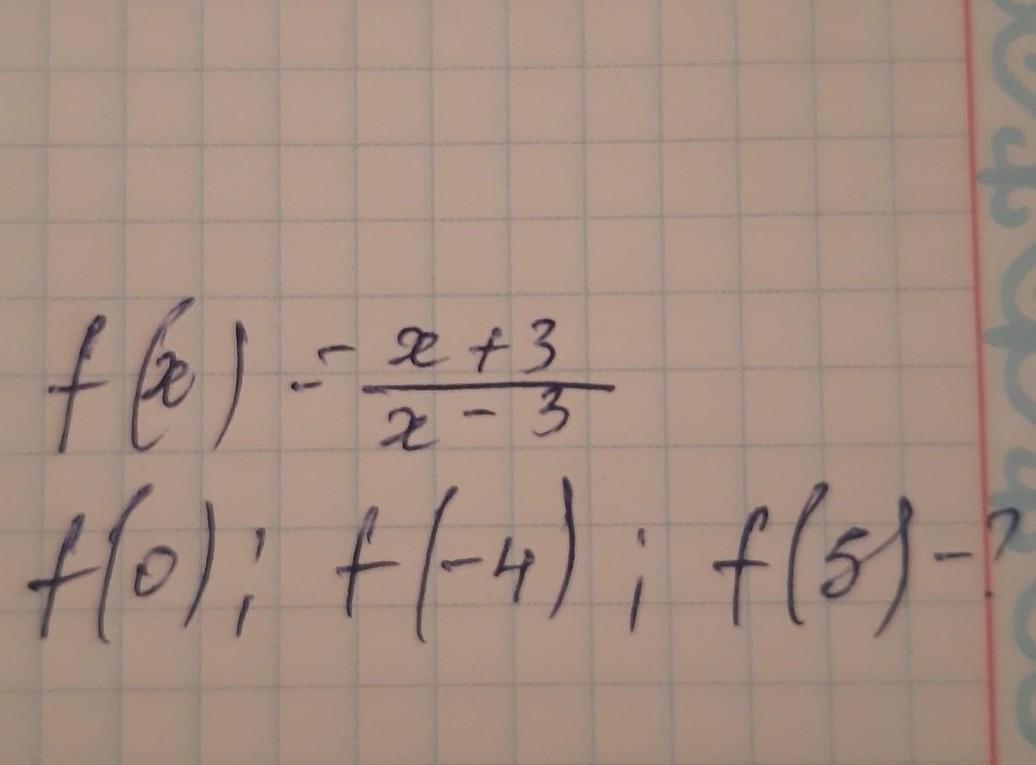
Приложения:

Ответы

Ответ дал: EADF
1

/////////////////////////////////////////////////////Объяснение:

f(0)= \frac{0 + 3}{0 - 3}  =  \frac{3}{ - 3}  =  - 1

f(-4)= \frac{ - 4 + 3}{ - 4 - 3}  =  \frac{-1}{-7} =  \frac{1}{7}

f(5)= \frac{5+3}{5-3}  =  \frac{8}{2}  = 4

Вас заинтересует