Переведите в смешанное число неправильные дроби:13/4,19/7,35/9,68/11,91/16,141/10,171/13,337/16,905/31,1000/29
Ответы
Ответ дал:
0
.....................
Приложения:
Ответ дал:
1
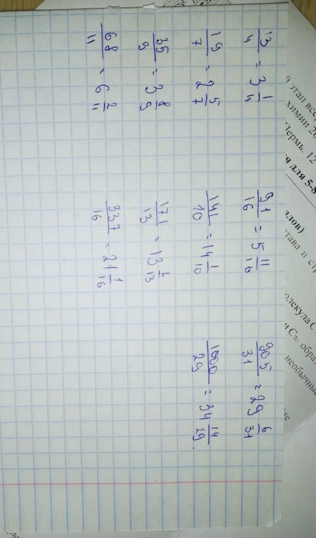
13/4 = 3 1/4
19/7 = 2 5/7
35/9 = 3 8/9
68/11 = 6 2/11
91/16 = 5 11/16
141/10 = 14 1/10
171/13 = 13 2/13
337/16 = 21 1/16
905/31 = 29 6/31
1000/29 = 34 14/29
19/7 = 2 5/7
35/9 = 3 8/9
68/11 = 6 2/11
91/16 = 5 11/16
141/10 = 14 1/10
171/13 = 13 2/13
337/16 = 21 1/16
905/31 = 29 6/31
1000/29 = 34 14/29
Вас заинтересует
2 года назад
3 года назад
8 лет назад
8 лет назад