• Предмет: Алгебра
  • Автор: Lina92
  • Вопрос задан 11 лет назад

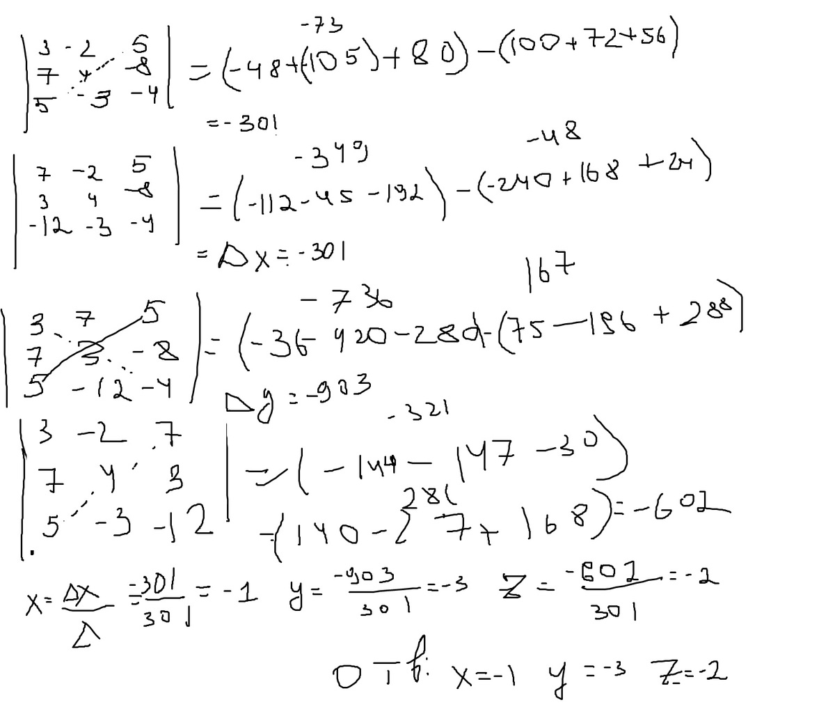
Решить систему уравнений по формуле Крамера:

1)3x-2y+5z=7

2)7x+4y-8z=3

3)5x-3y-4z=-12 

Ответы

Ответ дал: Askoa
0

proverke sdelaete sami............................................

Приложения:
Вас заинтересует