• Предмет: Алгебра
  • Автор: romaska202050
  • Вопрос задан 3 года назад

решите пожалуйста. На бумаге!!!!​

Приложения:

Ответы

Ответ дал: manyny06
1

Ответ:

решение смотри на фотографии

Объяснение:

Приложения:

romaska202050: Спасибо огромное. 2 раз уже выручаешь❤
ramingadirov06: Помоги пожалуйста, вот задание, на тебя надежда, умоляю. Как доказать свойство. Если x>0, то y>0. Функция y=1/x​
Ответ дал: parus77
1

Ответ:

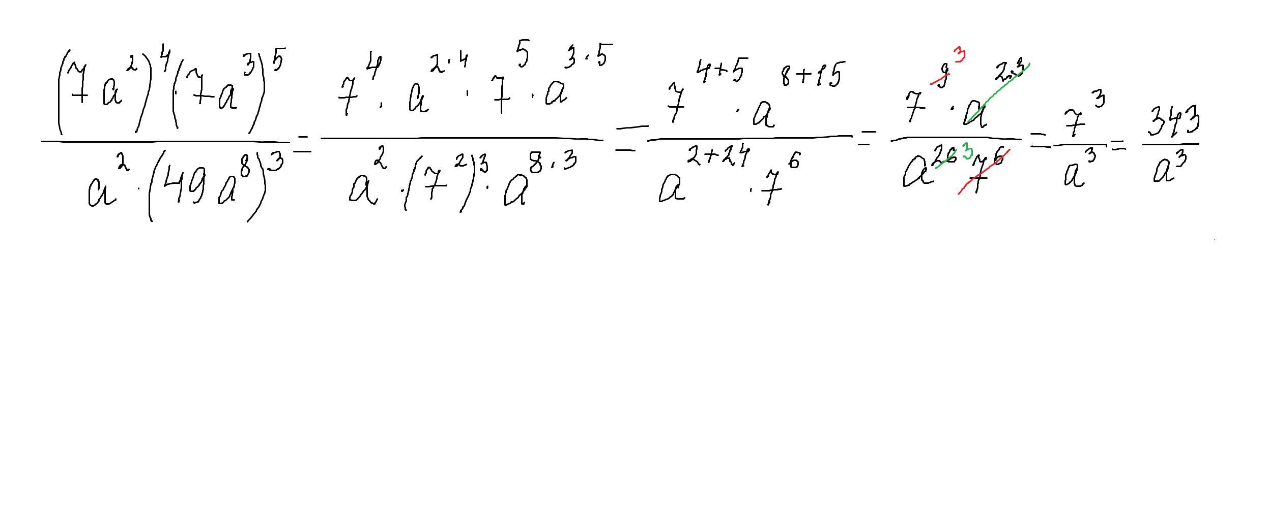
343\а³

Объяснение:

решение внизу(извини,на бумаге не могу)

Приложения:

romaska202050: Спасибо
Вас заинтересует