Ответы
Ответ дал:
1
Ответ:
Привет)
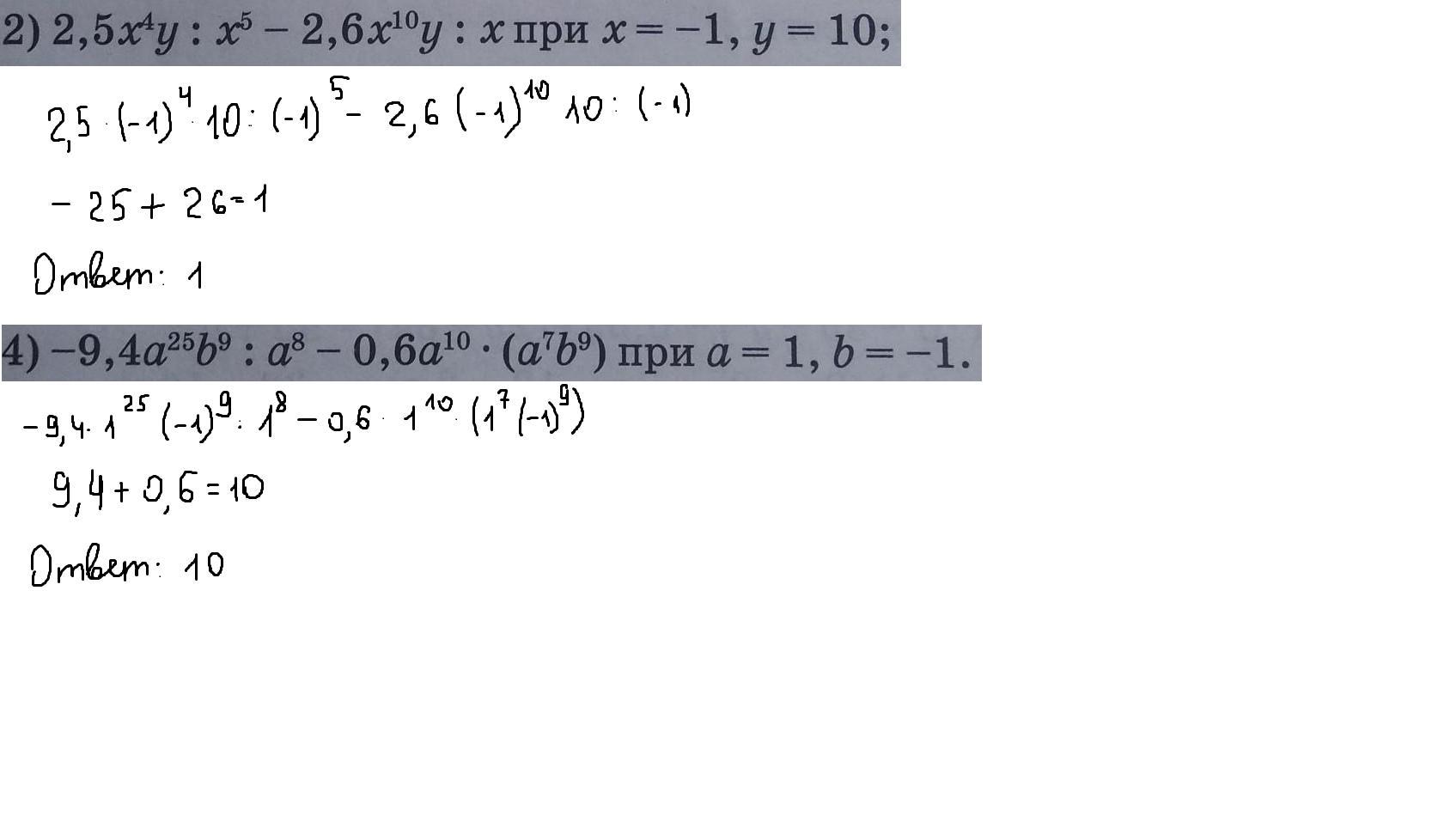
Решение во вложении, будут вопросы, задавай)
Если не сложно, отметь пожалуйста как лучший ответ))
Объяснение:
Приложения:

69839669:
огромное спасибо!ты вырубил(а)!
Вас заинтересует
2 года назад
7 лет назад
7 лет назад
9 лет назад
9 лет назад