• Предмет: Алгебра
  • Автор: nagimaazisbekkyzy
  • Вопрос задан 3 года назад


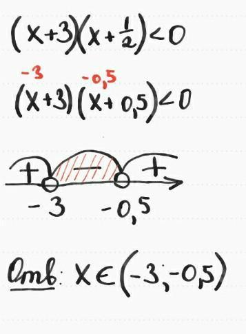
(x - 3)(x +  \frac{1}{2}) < 0

Ответы

Ответ дал: сок111213
1

решение на фотографии

Приложения:
Вас заинтересует