• Предмет: Алгебра
  • Автор: grenki476
  • Вопрос задан 3 года назад

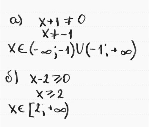
Найдите область определения функции:

Приложения:

Ответы

Ответ дал: abctxt
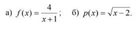
3

Ответ:

Объяснение:

а) х + 1 != 0 (не равно)

  х != -1

б) х-2 >=0

x >=2

Ответ дал: сок111213
1

решение на фотографии

Приложения:
Вас заинтересует