• Предмет: Алгебра
  • Автор: danilkan84
  • Вопрос задан 3 года назад

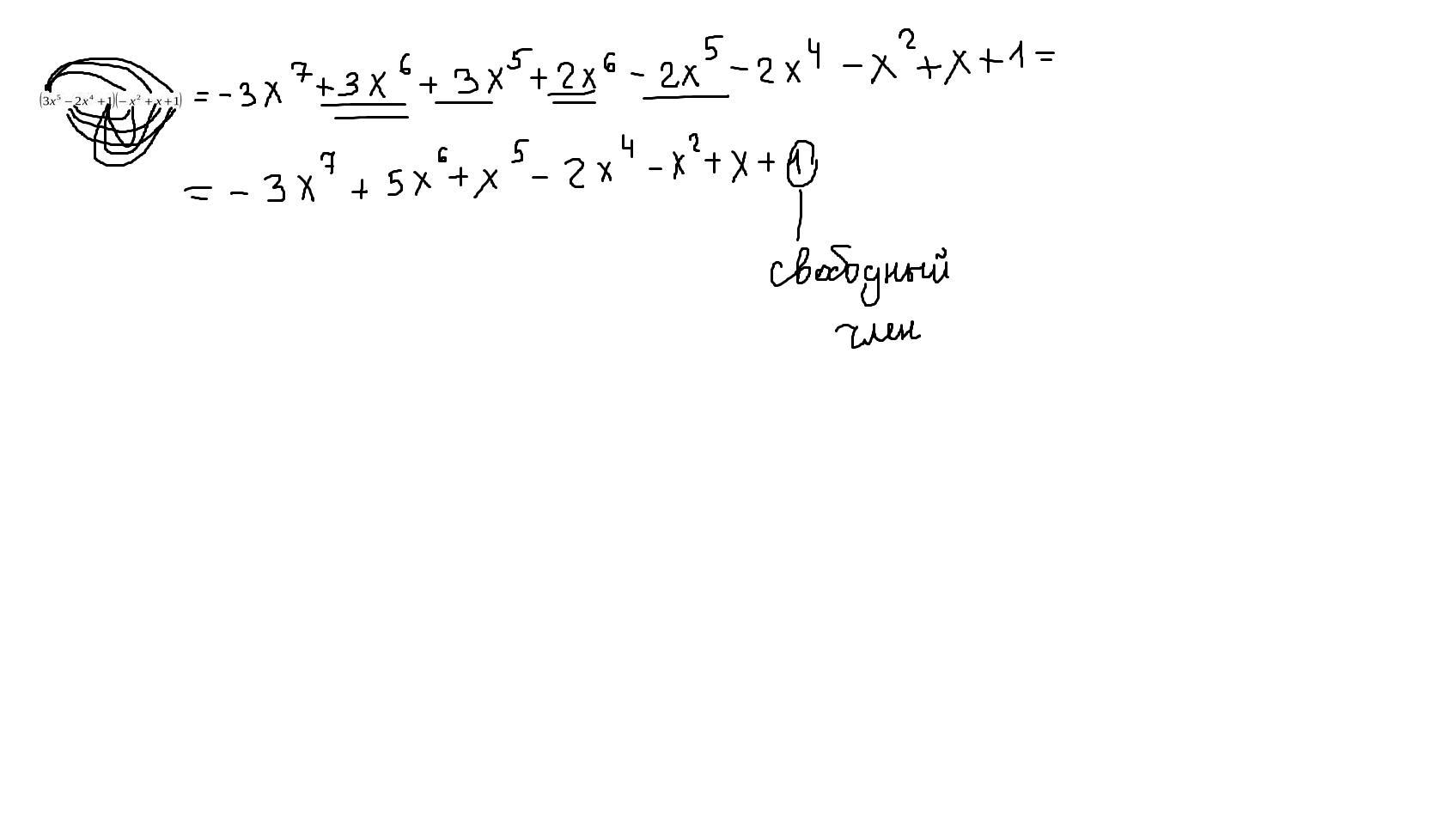
№1. Запиши многочлен в стандартном виде, определи его степень и свободный член:

Приложения:

Ответы

Ответ дал: katy770
3

Ответ:

Привет)

Решение во вложении, будут вопросы, задавай)

Если не сложно, отметь пожалуйста как лучший ответ))

Объяснение:

Приложения:

danilkan84: хорошо, спасибо)))
Вас заинтересует