• Предмет: Геометрия
  • Автор: zaridzhaparova
  • Вопрос задан 3 года назад

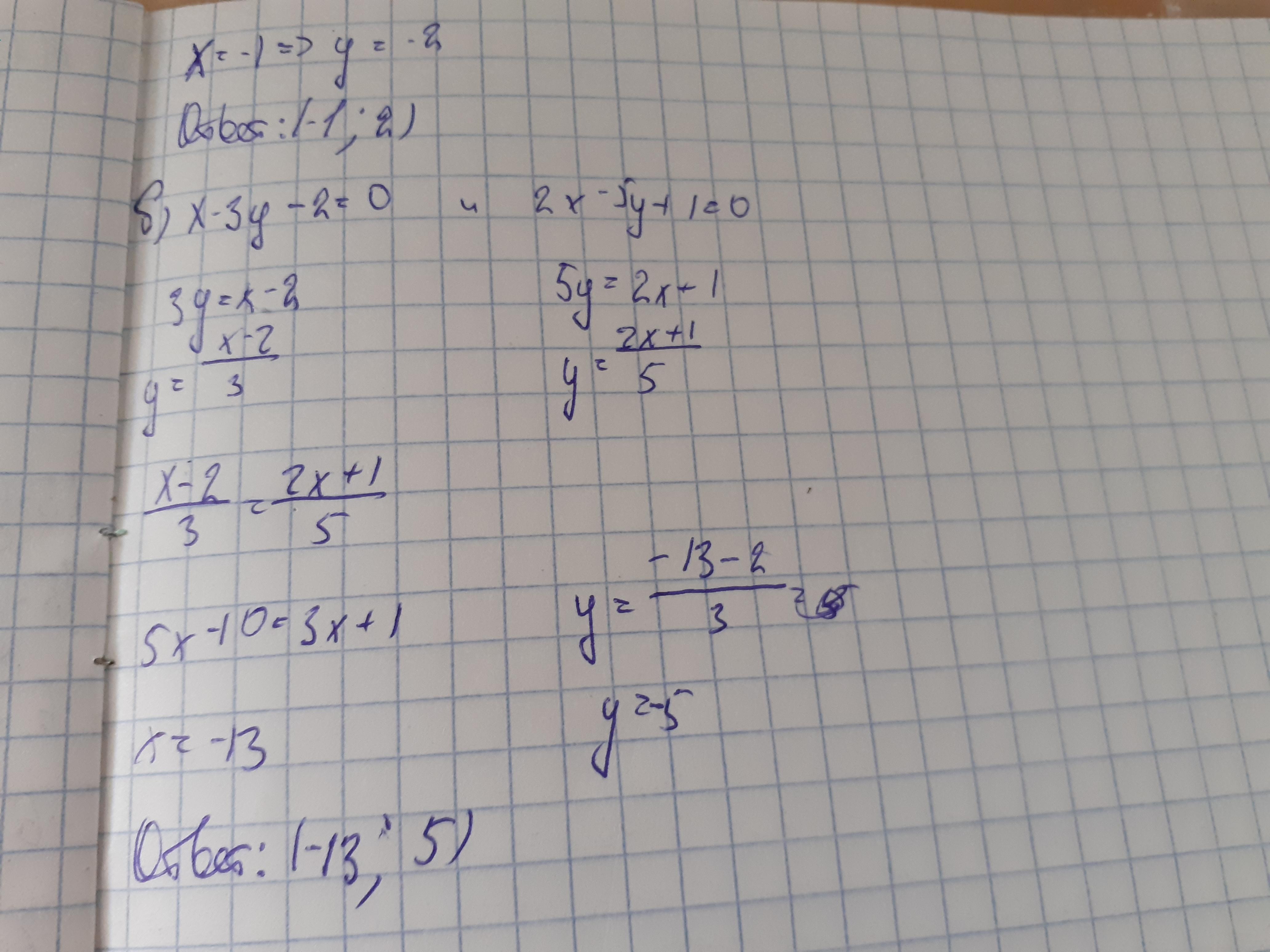
Найдите координаты точки пересечения прямых:
а) х - у - 1 - 0; x+y+ 3 = 0
б) х - 3y + 2 - 0; 2x - 5у +1 = 0​

Ответы

Ответ дал: LeimaNatalya
7

Ответ на фото ниже. Надеюсь помогла:)))))

:D надеюсь ты поймёшь этот убогий подчерк >_<

Приложения:
Вас заинтересует