• Предмет: Алгебра
  • Автор: Аноним
  • Вопрос задан 3 года назад

Даю 50 баллов!!!! Для решения мало времени срочноо!!​

Приложения:

Ответы

Ответ дал: NNNLLL54
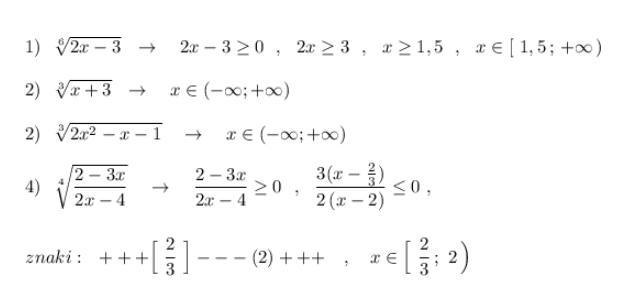
1

1)\ \ \sqrt[6]{2x-3}\ \ \to \ \ \ 2x-3\geq  0\ \ ,\ \ 2x\geq 3\ \ ,\ \ x\geq 1,5\ \ ,\ \ x\in [\ 1,5\, ;\, +\infty \, )\\\\2)\ \ \sqrt[3]{x+3}\ \ \to \ \ \ x\in (-\infty ;+\infty )\\\\2)\ \ \sqrt[3]{2x^2-x-1}\ \ \ \to \ \ \ x\in (-\infty ;+\infty )\\\\4)\ \ \sqrt[4]{\dfrac{2-3x}{2x-4}}\ \ \ \to \ \ \ \dfrac{2-3x}{2x-4}\geq 0\ \ ,\ \ \dfrac{3(x-\frac{2}{3})}{2\, (x-2)}\leq 0\ ,\\\\\\znaki:\ \ +++\Big[\ \dfrac{2}{3}\ \Big]---(2)+++\ \ \ ,\ \ \ x\in \Big[\ \dfrac{2}{3}\, ;\ 2\, \Big)

Приложения:

Аноним: простите но мне непонятно знак forever
NNNLLL54: знаки дроби считаем на указанных промежутках (метод интервалов)
Вас заинтересует