• Предмет: Алгебра
  • Автор: kasimovali23
  • Вопрос задан 3 года назад

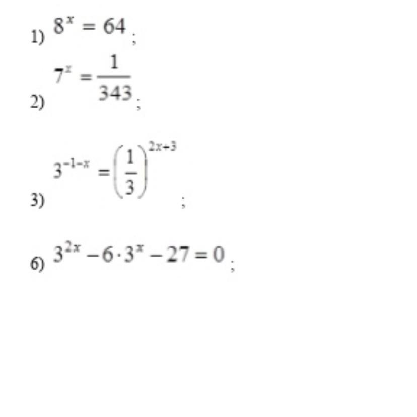
Решите пожалуйста уравнения
Для удобства задание на фотографии

Приложения:

Ответы

Ответ дал: Nina1952
1
Смотри )))))))))))))))))))))))))))))
Приложения:

kasimovali23: Мне брат помог
kasimovali23: Спасибо брат
Вас заинтересует