Ответы
Ответ дал:
1
Ответ:
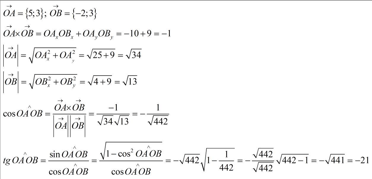
tg∠AOB=-21
Пошаговое объяснение:
используем свойства скалярного произведения векторов →ОА и →ОВ
Приложения:

aislu2007:
спасибооо
Вас заинтересует
2 года назад
2 года назад
2 года назад
2 года назад
7 лет назад
7 лет назад
9 лет назад
9 лет назад