• Предмет: Алгебра
  • Автор: btshs94
  • Вопрос задан 3 года назад

Помогите пожалуйста решить математику 11 класс
*на фото

Приложения:

Ответы

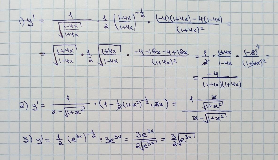
Ответ дал: Miroslava227
1

Ответ:

решение на фотографиях

Приложения:
Вас заинтересует