• Предмет: Алгебра
  • Автор: Аноним
  • Вопрос задан 3 года назад

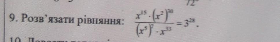
помогите прошууууууу​

Приложения:

Ответы

Ответ дал: sangers1959
0

Объяснение:

\frac{x^{15}*(x^2)^{30}}{(x^5)^7*x^{33}}=3^{28}\\\frac{x^{15}*x^{60}}{x^{35}*x^{33}}=3^{28}\\\frac{x^{75}}{x^{68}}=3^{28}\\ x^7=3^{28}\\x^7=(3^4)^7\\x=3^4=81.

Ответ: x=81.

Вас заинтересует