• Предмет: Алгебра
  • Автор: jamoliddinibragimov7
  • Вопрос задан 3 года назад

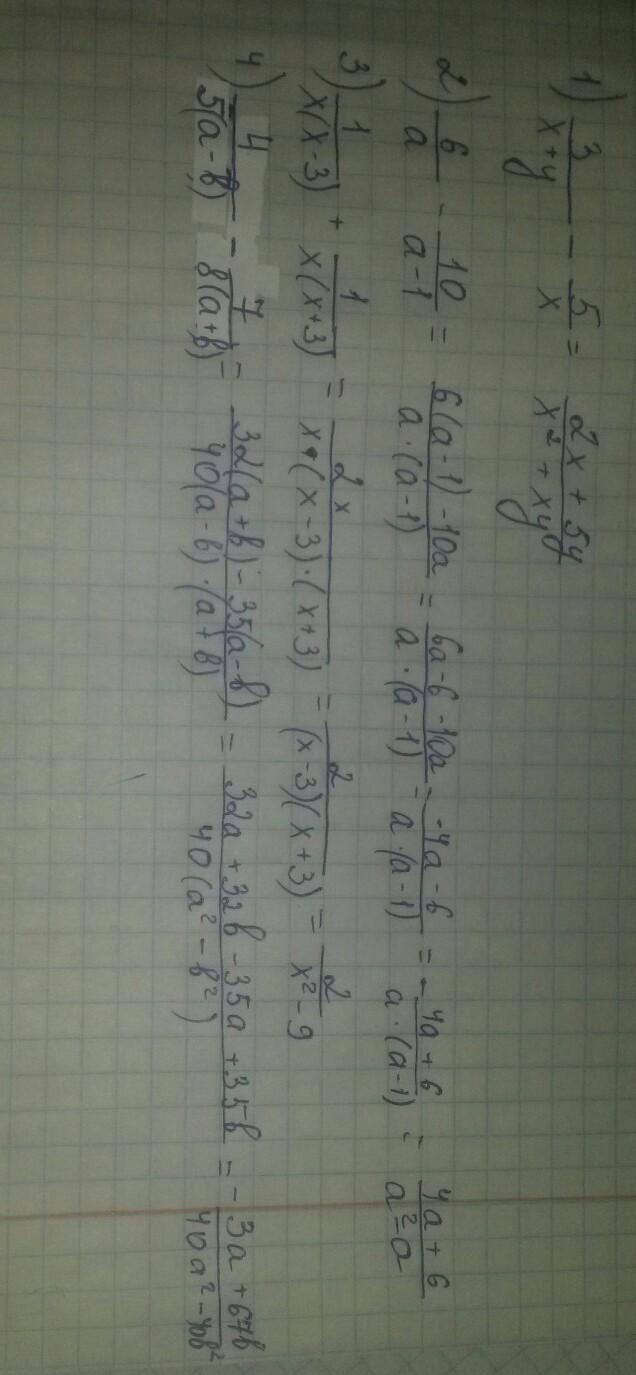
СЛОЖИТЕ И ВЫЧТИТЕ АЛГЕБРАИЧЕСКИЕ ДРОБИ (все 4 решить)​

Приложения:

Ответы

Ответ дал: zara1077
1

Ответ:

правильно на 100%.............

Приложения:
Вас заинтересует