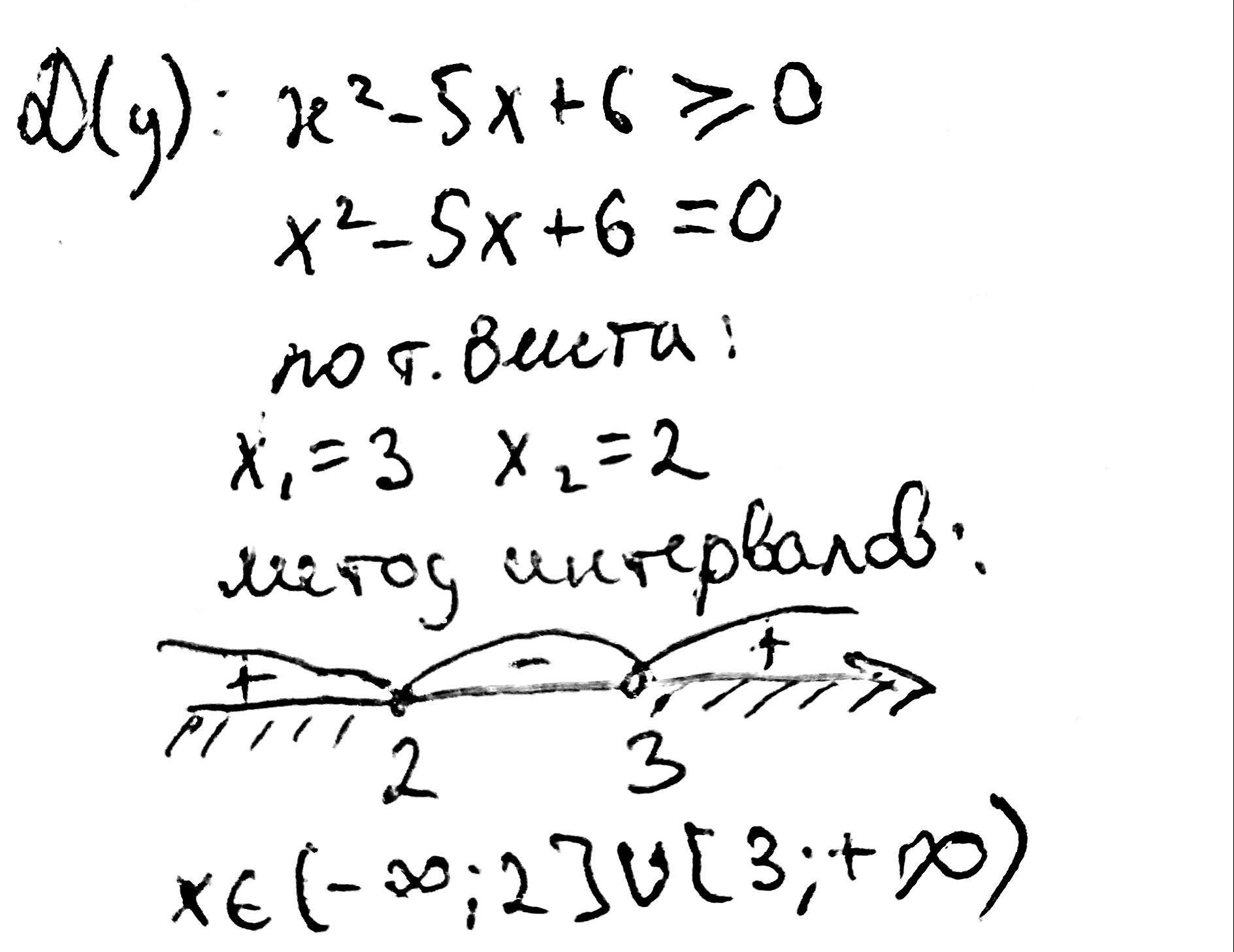
![\sqrt[4]{x {}^{2} - 5x + 6 } \sqrt[4]{x {}^{2} - 5x + 6 }](https://tex.z-dn.net/?f=+%5Csqrt%5B4%5D%7Bx+%7B%7D%5E%7B2%7D+-+5x+%2B+6+%7D+)
Помогите по алгебре, пожалуйста.
Ифигения:
Какое условие?
Ответы
Ответ дал:
1
Ответ:
Объяснение:
Во вложении
Приложения:

Вас заинтересует
2 года назад
2 года назад
2 года назад
7 лет назад
7 лет назад
9 лет назад