Ответы
Ответ дал:
1
Ответ:
Объяснение:
Во вложении
Приложения:

Universalka:
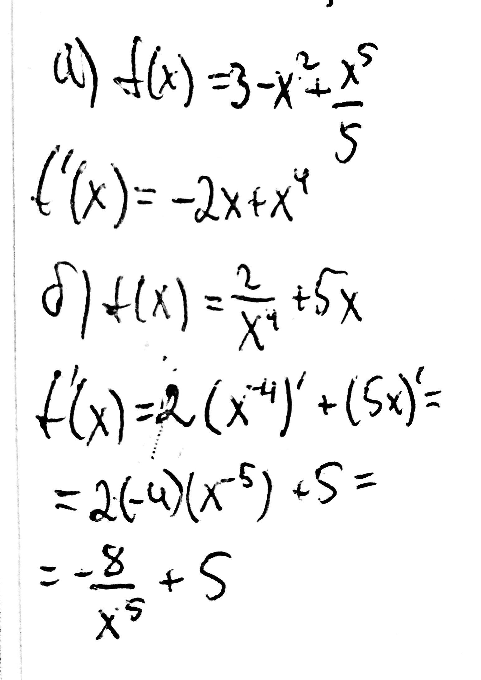
Первое задание регено неверно, так как выглядит по-другому
Ответ дал:
1
Вас заинтересует
2 года назад
2 года назад
2 года назад
2 года назад
9 лет назад