Ответы
Ответ дал:
1
Решение на фото
Поставьте пожалуйста лайк и лучший ответ♥️
Приложения:

Ответ дал:
1
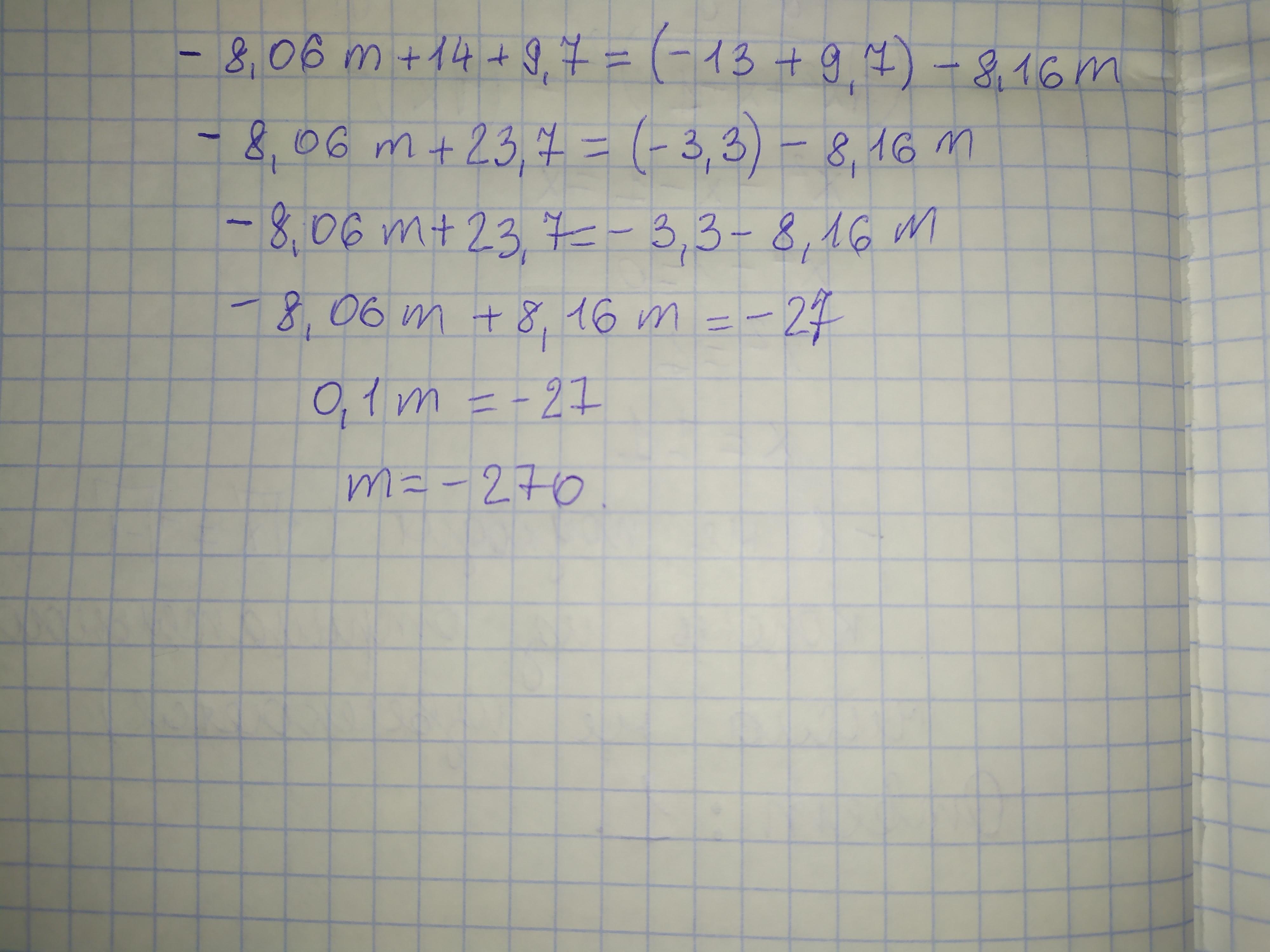
Ответ:
-270
Объяснение:
−8,06m+14+9,7=(−13+9,7)−8,16m
-8,06m+8,16m=−13+9,7-14-9,7
0.1m=-27
m= -270
Вас заинтересует
2 года назад
2 года назад
2 года назад
2 года назад
7 лет назад
7 лет назад
9 лет назад
9 лет назад