• Предмет: Математика
  • Автор: ppep266676
  • Вопрос задан 3 года назад

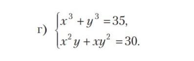
Решите систему уравнений только правильно, и поэтапно (если что, это Алгебра учит рассуждать 9кл)​/ и ещё распишите решение полностью​

Приложения:

Ответы

Ответ дал: mgdev7752
0

Ответ:

(1) 3х²у+3ху²=90(обе части нижнего уравнения умножили на 3)

(2) сложив почленно верхнее уравнение х³+у³=35 с уравнением (1), получим:

 х³+3х²у+3ху²+у³=125 или (х+у)³=125 или х+у=√125 или х+у=5 (беру для простоты только положительные корни,  с отрицательными будет такой же алгоритм решения!)

(3) далее, преобразуем уравнение (1) как 3ху(х+у)=90 или ху(х+у)=30.

Но у нас ранее получено, что х+у=5, т.е ху·5=30 или ху= 6.

(4) получили новую систему:

║х+у=5

║ху=6

Значит х=5-у, отсюда (5-у)·у=6, далее  у²-5у+6=0 (корни этого уравнения 3 и 2. Но я для упрощая для быстроты, что конечно, недопустимо, беру только один корень 3) Получил у=3, тогда х=5-3=2.

Ответ(неполный): у=3, х=2

Желаю всем здоровья и удачи!

 

Пошаговое объяснение:

Вас заинтересует