• Предмет: Алгебра
  • Автор: marula98
  • Вопрос задан 3 года назад

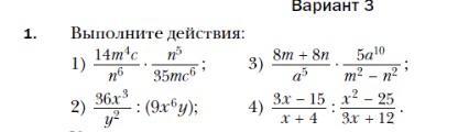
Решите пожалуйста номер . 1 ответ и решение запишите на листочке . Помогите срочно !!!

Приложения:

Ответы

Ответ дал: PeRaTeKk
0

Ответ:

2м/3с

5нс/5

Объяснение:

2м/3с

5нс/5


marula98: а можешь написать решение на листочке ? И прикрепить в ответ
andreevnazinaida68: решение неправильное
marula98: Можешь написать правильное решение и ответ на листике и прикрепить к ответу
Вас заинтересует