• Предмет: Математика
  • Автор: IvanUkrainskiy
  • Вопрос задан 3 года назад

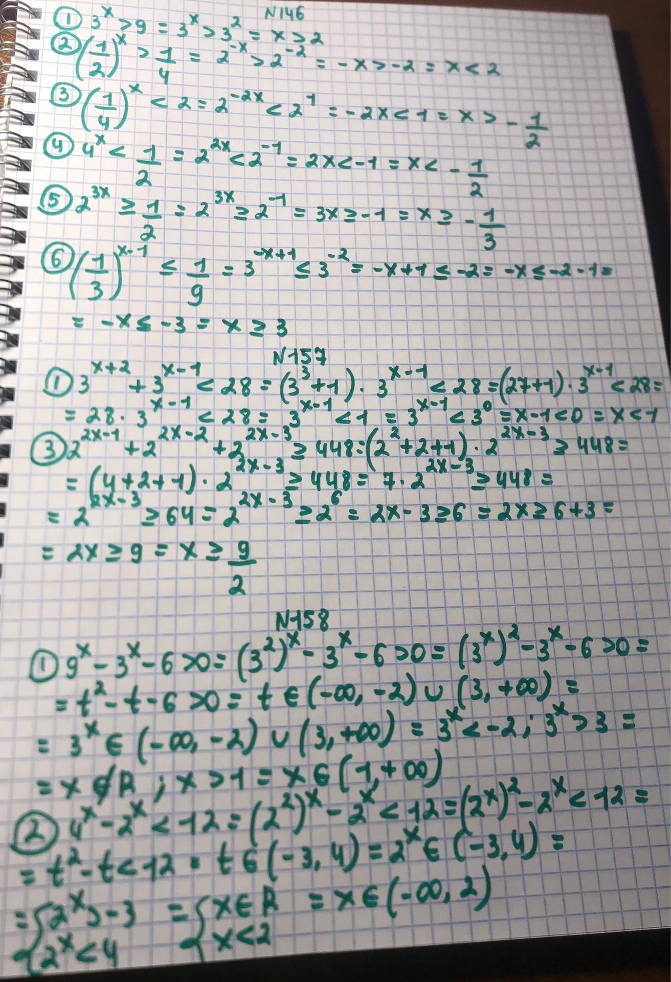
Решить неравенства: 146, 157(1, 3), 158(1, 2)

Приложения:

Ответы

Ответ дал: Miroslava227
0

Ответ:

решение на фотографиях

Приложения:
Ответ дал: otlischno777
0

Данный ответ представлен фотографией.

Приложения:
Вас заинтересует