• Предмет: Математика
  • Автор: tashmukhamedovast
  • Вопрос задан 3 года назад

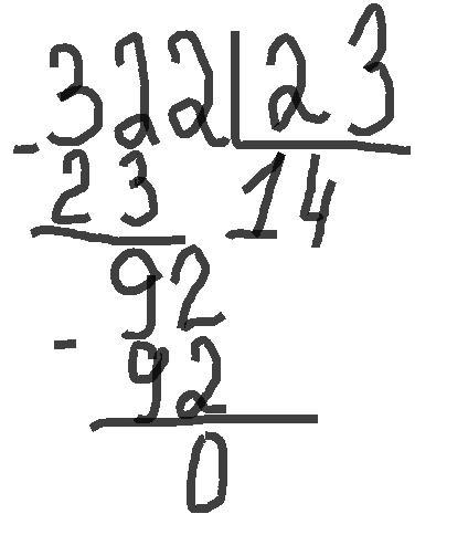
пожалуйста помогите просто напишите в столбик пример 322:23 В СТОЛБИК​

Ответы

Ответ дал: adenina57
0

Ответ:

Пошаговое объяснение:

Приложения:
Вас заинтересует