• Предмет: Математика
  • Автор: prostobohdan01
  • Вопрос задан 3 года назад

Помогите решить алгебру! Задание в профиле, и тут даю много балов. Задание на 5 мин!

Приложения:

Олеся9006: если 5- много, сколько- мало?
prostobohdan01: В профиле больше баллов!
Олеся9006: а какая разница, сколько в профиле, если тут только 5 даете. Лучше просто пишите, чтобы помогли, вместо обещаний

Ответы

Ответ дал: сок111213
0

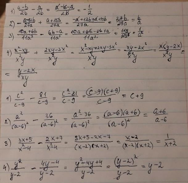
решение на фотографии

Приложения:
Вас заинтересует