• Предмет: Алгебра
  • Автор: jamoliddinibragimov7
  • Вопрос задан 3 года назад

Сократите дробь. пишите полностю(все 6 решить​

Приложения:

Ответы

Ответ дал: otlischno777
1

Данный ответ представлен фотографией.

Приложения:
Ответ дал: Ляляляля109
0

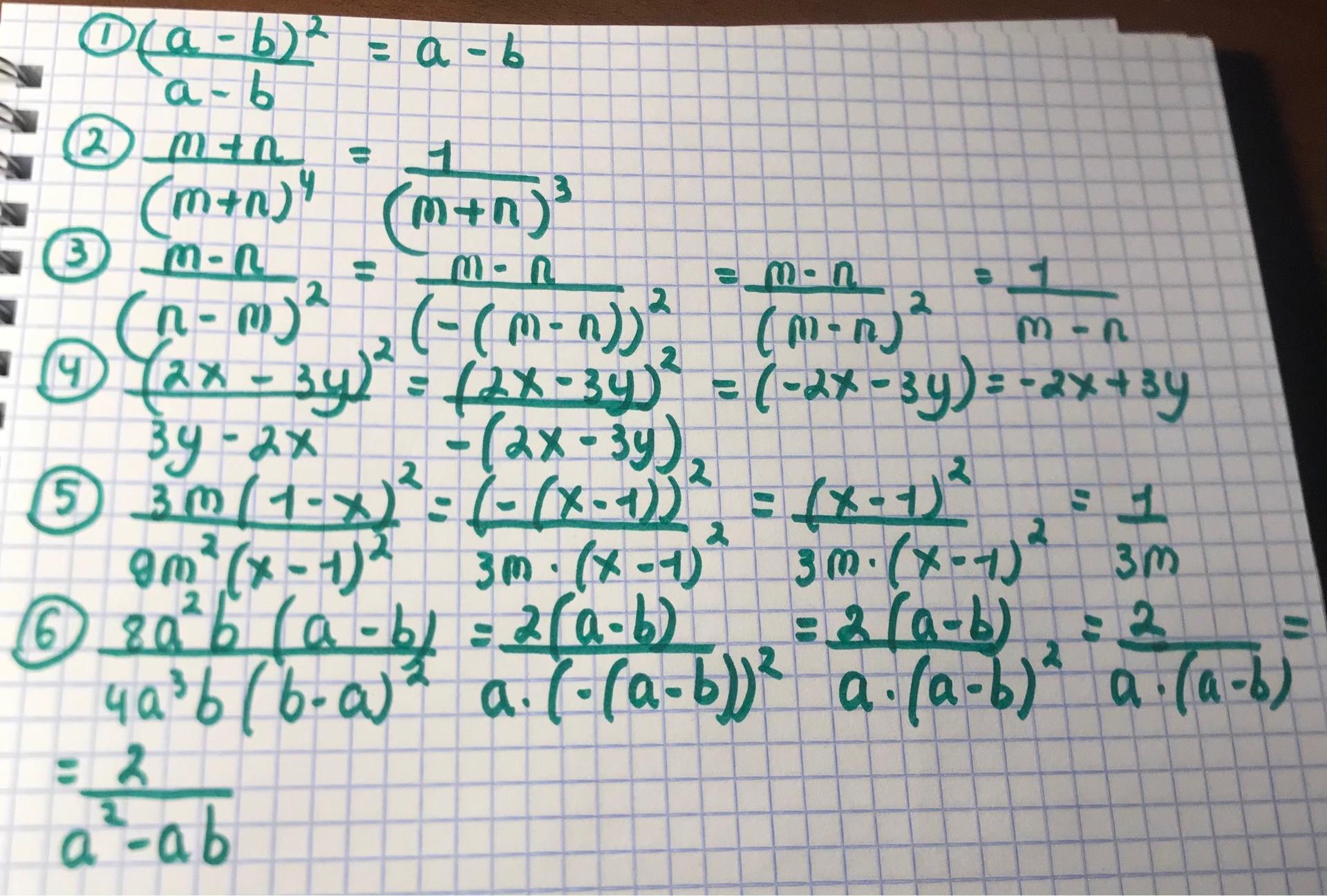
1)

\frac{(a-b)^{2}}{a-b} =a-b

2)

\frac{m+n}{(m+n)^{4}} =\frac{1}{(m+n)^{3}}

3)

\frac{m-n}{(n-m)^{2}} =\frac{m-n}{(-(m-n))^{2}} =\frac{m-n}{(m-n)^{2}} =\frac{1}{m-n}

4)

\frac{(2x-3y)^{2}}{3y-2x} =\frac{(2x-3y)^{2}}{-(2x-3y)} =-(2x-3y)=-2x+3y

5)

\frac{3m(1-x)^{2}}{9m^{2}(x-1)^{2}} =\frac{(1-x)^{2}}{3m(-(1-x))^{2}} =\frac{(1-x)^{2}}{3m(1-x)^{2}}=\frac{1}{3m}

6)

\frac{8a^{2}b(a-b)}{4a^{3}b(b-a)^{2}} =\frac{2(a-b)}{a(-(a-b))^{2}} =\frac{2(a-b)}{a(a-b)^{2}} =\frac{2}{a(a-b)}=\frac{2}{a^{2}-ab}

Вас заинтересует